Stochastic Programming (SP) basics



Stochastic problems can essentially be divided into 2-stage and multi-stage problems. In a 2-stage problem, the initial decisions are taken first. These are then followed by a random event. Next, the recourse decisions, which are based on this random event, are taken. The multi-stage problem, as the name suggests, consists of multiple stages, with a random event occurring between each stage. In this case, decisions are made at each stage. The following sections give a detailed description of these problems:

2-stage stochastic problems

In a 2-stage problem, first, the initial or the first stage decisions (e.g., system design decisions) are made which are followed by random events such as demand, availability, price, or a combination of these. Then the second stage decisions (e.g. operational decisions) are made. This can be viewed pictorially as follows:

SP/23243526.png

Figure 3.1: 2-stage problem

In the standard form, the 2-stage stochastic program is:

SP/twostgprob.png

where Maths/approx.png indicates Maths/leq.png, Maths/geq.png, = or combination of these. x1 and x2 are the first and the second stage stochastic decision variables respectively. E2[] is the expectation operator with respect to the random event Maths/xi.png2. Maths/xiup.png2 represents the state space (the set of possible outcomes or the values that Maths/xi.png2 can assume) in the recourse stage. There may be separate values for the objective coefficients c˜'2(Maths/xi.png2), right hand side 2(Maths/xi.png2), and matrix coefficients Ã21(Maths/xi.png2) and Ã22(Maths/xi.png2) for each outcome Maths/xi.png2 in Maths/xiup.png2, and the recourse decisions x2(Maths/xi.png2) depend on Maths/xi.png2, i.e., there are separate sets of recourse decisions for each outcome Maths/xi.png2 in the second stage.

Multi stage stochastic problems

Multi-stage problems can be viewed pictorially as follows:

SP/4fe73098.png

Figure 3.2: Multi-stage problem

Formally, the multi-stage stochastic program is defined as follows:

SP/multistgprob.png

where
`optimize' indicates maximize or minimize
˜ indicates random data variable
Maths/approx.png indicates Maths/leq.png, Maths/geq.png, = or a combination of these

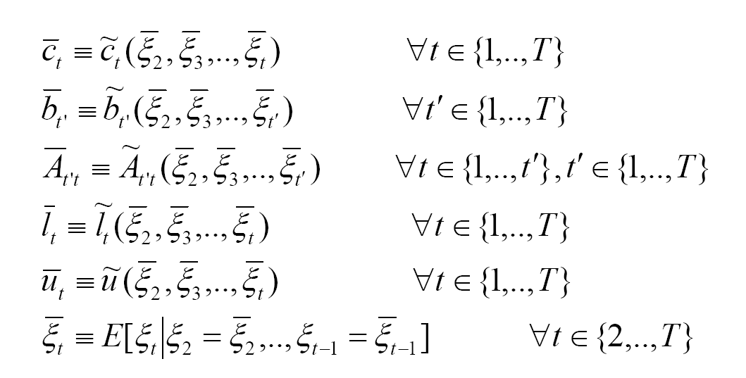
SP/multistgprobrndelems.png

Each of the above entities depends on the sequence of events (Maths/xi.png2,Maths/xi.png3,...).—Note that c1, A11, b1, l1, and u1 are not random.—

Scenario generation

Maths/xi.pngt being a random variable, takes different values with different probabilities. If each of the Maths/xi.pngt's can be discretized, the realized values of Maths/xi.pngt give rise to what is called a scenario tree. An example of a scenario tree with T (number of stages) =3 and S (number of scenarios) =4 is shown in Figure 3-stage scenario tree.

SP/5065c238.png

Figure 3.3: 3-stage scenario tree

In the tth stage there are Nt nodes. For each stage t in 2 to T, each Maths/xi.pngt has Nt outcomes (Maths/xi.pngt1 w.p. pt,1,Maths/xi.pngt2 w.p. pt,2,...Maths/xi.pngtNt w.p. pt,Nt), where ptn is the conditional probability of visiting the nth node in the tth stage from its parent node in the t-1th stage. The realizations of Maths/xi.png2, Maths/xi.png3,...,Maths/xi.pngT correspond to scenarios (paths in the tree). For each stage t and each node n in that stage, the node has an unconditional probability Ptn of being visited, which is equal to the product of conditional probabilities along the path to that node. Similarly, each scenario s has a scenario probability Ps that is equal to the product of conditional probabilities along the path to that scenario. The following observations can be made about the scenario tree:

  1. SP/scentreeobs.png

Underlying deterministic model

If we ignored the randomness of the data momentarily, then an underlying deterministic model can be written as follows:

SP/detequivform.png

Expanding the underlying deterministic model

Given the dependency of the coefficients (ttt',b˜t,l˜t,u˜t) of a stochastic program on the random events (Maths/xi.pngt), it can automatically be expanded into an extensive form (deterministic equivalent problem) by introducing new variables and constraints. There are basically two ways of creating new variables and constraints: node based and scenario based.

Node based

Given a scenario tree, the underlying deterministic model can be expanded into an extensive mathematical program based on the nodes. The basic idea is to add a subscript of a node number to each of the stochastic decision variables (xt becomes xt,n for n=1,...,Nt). Then the resulting extensive deterministic model would be:

SP/nodebasedform.png

In this model ctn,Att'n,btn,ltn,utn are the resolved values of ttt',b˜t,l˜t,u˜t at the node(t,n). Based on above formulation, the matrix structure of the problem shown in Figure 3-stage scenario tree would look as follows:

SP/m2a7ab2dd.png

Figure 3.4: Node based matrix

Scenario based

A stochastic model can also be expanded based on the scenarios. Here each variable is also subscripted by scenarios (xt Maths/rightarrow.png xt,s for s=1,...,S). The expanded mathematical program would look as follows:

SP/scenbasedform.png

Here cts,Att's,bts,lts,uts are realizations of ttt',b˜t,l˜t,u˜t respectively in scenario s.

Non-anticipative constraints (NAC)

Consider the node(2,2) in Figure 3-stage scenario tree. When the model is parsed according to scenarios, although we have two separate variables x22 and x23 corresponding to scenarios 2 and 3 at this node, both of them should assume same value since they cannot depend on the future events (xt Maths/equivt.png xt(Maths/xi.pngs,...,Maths/xi.pngt)). Therefore, the following set of non-anticipative constraints also needs to be included in the above formulation:
xts = xts' Maths/forall.png n Maths/in.png{1,...,Nt}, t Maths/in.png {1,...,T-1}, s Maths/neq.png s' Maths/in.png Maths/lambdaup.pngtn, where Maths/lambdaup.pngtn is the set of scenarios passing through the node(t,n). Hence, the matrix structure for the problem shown in Figure 3-stage scenario tree would look as follows.

SP/ma5a2d0d.png

Figure 3.5: Scenario based matrix

Solution measures

Recourse problem (R.)

The standard stochastic problem discussed in Section Multi stage stochastic problems is also referred to as the recourse problem.

SP/recprobform.png

Expected Value problem

If the Maths/xi.pngt's are replaced by their expected values in the recourse problem, then such a problem is called an expected value (EV) problem.

SP/expvalprobform.png

where,

SP/expvalprobrndelems.png

Expected Value problem with recourse

Let x- = (x-1,x-2,...x-T) be the optimal solution to the above problem, then for each stage an expected recourse problem can be defined as follows.

SP/expvalrecprobform.png

Here, the first t stage variables are fixed at their optimal values obtained in the EV problem. The following observations can be made:

  1. zEV is not worse than zR (i.e., if maximizing, zEV Maths/geq.png zR).
  2. If Maths/sumsm.png
    t
    t''=1
    Ãt't''x-t' Maths/approx.pngt'
    , t' Maths/leq.png x-t' Maths/leq.pngt' Maths/forall.pngt'Maths/in.png{1,...,t} and EVrt is feasible then, zR is not worse than zEVr(t).
  3. If 2. is true then the value of stochastic solution: VSS(t) is the absolute value of the difference between zR and zEVr(t), else it is +Maths/infinity.png.

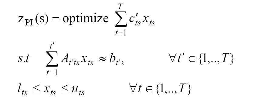
Perfect Information problem

Here, the problem for each scenario is solved independently.

SP/perinfprobform.png

Let x*s = (x*1s,x*2s,...,x*Ts) be the optimal solution to the above problem,
x* = Maths/sumsm.png
S
s=1
Psx*s = (x*1,x*2,...,x*T)
be the aggregated solution, and zPI = Maths/sumsm.png
S
s=1
PszPI(s)
be the aggregated objective value.

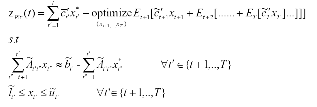
Perfect information problem with recourse

SP/perinfrecprobform.png

The following observations can be made:

  1. ZPI is not worse than ZRP.
  2. If Maths/sumsm.png
    t
    t''=1
    Ãt't''x*t' Maths/approx.pngt'
    , t' Maths/leq.png x*t' Maths/leq.pngt' Maths/forall.pngt'Maths/in.png{1,...,t} and PIrt is feasible then, ZPI is not worse than ZPIr(t).
  3. If 2. is true then the expected value of perfect information: EVPI is the absolute value of the difference between ZR and ZPI, else it is +Maths/infinity.png.

Focus on an instance of the problem

Instead of looking at the fully expanded problem at once, one could also look at the instance of the underlying problem in a particular scenario or at a node in a scenario tree. The corresponding

model in a scenario s

SP/focusinscen.png

model at a node(t,n) in the scenario tree

SP/focusatnode.png

e.g. in Figure 3-stage scenario tree the model focused at node(3,4) will be:

SP/focusatnode34.png

If you have any comments or suggestions about these pages, please send mail to docs@dashoptimization.com.